Определитель Изображение вопроса Определитель  равен …... равен …
• 4

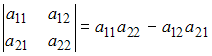
Определитель второго порядка вычисляется по формуле:
.

• 22
• – 18

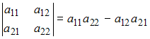
Определитель второго порядка вычисляется по формуле:
.

• – 14

Определитель второго порядка вычисляется по формуле:
.

Предмет: Математика