Если
и
, то сумма
равна …
и
, то сумма
равна … •
В процессе решения задачи следует использовать правила:
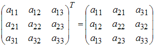
1)
– для транспонирования;
2) если матрица С есть сумма матриц А и В, то элементы матрицы С находятся как
.
•
В процессе решения задачи следует использовать правила:
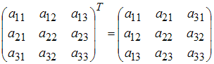
1)
– для транспонирования;
2) если матрица С есть сумма матриц А и В, то элементы матрицы С находятся как
.
•
В процессе решения задачи следует использовать правила:
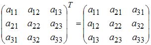
1)
– для транспонирования;
2) если матрица С есть сумма матриц А и В, то элементы матрицы С находятся как
.
• 
