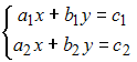
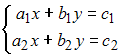
Если система линейных уравнений
Изображение вопроса Если система линейных уравнений   ,  где  – некото...,
где Изображение вопроса Если система линейных уравнений   ,  где  – некото... – некоторые числа,
имеет бесконечное множество решений, то Изображение вопроса Если система линейных уравнений   ,  где  – некото... равно …
• -6

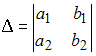
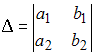
Если система линейных уравнений  имеет решение, то она совместна, следовательно,  ранг основной матрицы системы равен рангу расширенной матрицы. Т.к. число решений бесконечно, то определитель матрицы системы  равен нулю.

• 6
• 2

Если система линейных уравнений  имеет решение, то она совместна, следовательно,  ранг основной матрицы системы равен рангу расширенной матрицы. Т.к. число решений бесконечно, то определитель матрицы системы  равен нулю.

• -2

Если система линейных уравнений  имеет решение , то она совместна, следовательно,  ранг основной матрицы системы равен рангу расширенной матрицы. Т.к. число решений бесконечно, то определитель матрицы системы  равен нулю.

Предмет: Математика