Линейная алгебра – страница 3
Линейное преобразование f в базисе
имеет матрицу
Тогда матрица этого оператора в базисе
, где
;
, имеет вид …
имеет матрицу
Тогда матрица этого оператора в базисе
, где
;
, имеет вид …Дана матрица
. Если
, где E – единичная матрица того же размера, что и матрица A, то матрица B равна …
. Если
, где E – единичная матрица того же размера, что и матрица A, то матрица B равна …Дано общее уравнение плоскости
Тогда уравнение этой плоскости «в отрезках» имеет вид …
Тогда уравнение этой плоскости «в отрезках» имеет вид …Линейный оператор переводит векторы
в векторы
соответственно. Тогда матрица этого оператора имеет вид …
в векторы
соответственно. Тогда матрица этого оператора имеет вид …Каноническое уравнение прямой, проходящей через начало координат перпендикулярно прямым
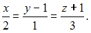
и
имеет вид …
и
имеет вид …Линейный оператор
отображает базис
в векторы:
;
;
. Тогда матрица оператора
в этом базисе имеет вид …
отображает базис
в векторы:
;
;
. Тогда матрица оператора
в этом базисе имеет вид …Аксиомой линейного пространства
является …
является …Для элементов линейного пространства операции сложения и умножения на действительное число обладают свойством …
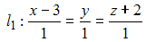
уравнение высоты, проведенной из вершины C, имеет вид …
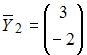
и
. Тогда координаты середины отрезка AB равны …
и плоскостью
равно …
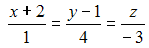
параллельно прямой 

и
имеет вид …