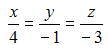
Каноническое уравнение прямой, проходящей через начало координат перпендикулярно прямым Изображение вопроса Каноническое уравнение прямой, проходящей через на... и Изображение вопроса Каноническое уравнение прямой, проходящей через на... имеет вид …
• 
• 
• 
• 
Тема: Аналитическая геометрия на плоскости и в пространстве
Предмет: Линейная алгебра