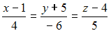
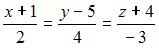
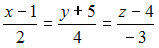
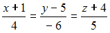
Каноническое уравнение прямой, проходящей через точки Изображение вопроса Каноническое уравнение прямой, проходящей через то... и Изображение вопроса Каноническое уравнение прямой, проходящей через то... имеет вид …
• 
• 
• 
• 
Тема: Прямая линия в пространстве
Предмет: Линейная алгебра