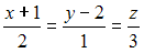
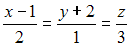
Прямая проходит через точку Изображение вопроса Прямая проходит через точку  параллельно прямой  
... параллельно прямой Изображение вопроса Прямая проходит через точку  параллельно прямой  
...
Тогда уравнение этой прямой имеет вид …
• 
• 
• 
• 
Тема: Прямая линия в пространстве
Предмет: Линейная алгебра