Сопротивление материалов – страница 61
2 
Стержень квадратного сечения со стороной b нагружен внешними силами. Значение максимального нормального напряжения в стержне равно …

Стержень квадратного сечения со стороной b нагружен внешними силами. Значение максимального нормального напряжения в стержне равно …
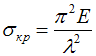
Критическое напряжение в сжатом стержне, пока напряжение не превышает предел пропорциональности, определяется по формуле
. Величина
называется …
. Величина
называется …4 
Консольная балка длиной
нагружена силой F и моментом
Размеры поперечного сечения по длине балки не меняются. Модуль упругости материала Е. Форма изогнутой оси балки на первом участке описывается кривой _______ порядка, а на втором _______ порядка.

Консольная балка длиной
нагружена силой F и моментом
Размеры поперечного сечения по длине балки не меняются. Модуль упругости материала Е. Форма изогнутой оси балки на первом участке описывается кривой _______ порядка, а на втором _______ порядка.При объемном напряженном состоянии нулю не равняются __________ главных напряжения(-ий).
6 
На рисунке показан стержень, растянутый силами F, и элементарный параллелепипед, выделенный гранями, параллельными граням стержня. Главными площадками являются грани …

На рисунке показан стержень, растянутый силами F, и элементарный параллелепипед, выделенный гранями, параллельными граням стержня. Главными площадками являются грани …
7 
Стержень, показанный на рисунке, испытывает деформацию кручение.
Заданы величины: М, l,
,
– допустимый угол поворота сечения С. Условие жесткости имеет вид …

Стержень, показанный на рисунке, испытывает деформацию кручение.
Заданы величины: М, l,
,
– допустимый угол поворота сечения С. Условие жесткости имеет вид …8 
Стержень круглого сечения диаметром d нагружен двумя силами F и
При смене направления силы
на противоположное значение максимального нормального напряжения в поперечном сечении стержня …

Стержень круглого сечения диаметром d нагружен двумя силами F и
При смене направления силы
на противоположное значение максимального нормального напряжения в поперечном сечении стержня …9 
Осевой момент инерции поперечного сечения двутавра №10 относительно оси
равен ___
Характеристики двутавра взять из ГОСТа.

Осевой момент инерции поперечного сечения двутавра №10 относительно оси
равен ___
Характеристики двутавра взять из ГОСТа.10 
В самых напряженных точках поперечного сечения вала касательные напряжения достигнут предела текучести тогда, когда значение момента М равно …

В самых напряженных точках поперечного сечения вала касательные напряжения достигнут предела текучести тогда, когда значение момента М равно …
14 
Моменты инерции фигуры относительно осей x и y:
Положение главных осей, проходящих через начало координат, определяется углом равным …

Моменты инерции фигуры относительно осей x и y:
Положение главных осей, проходящих через начало координат, определяется углом равным …15 
На рисунках 1 и 2 показаны два раза статически неопределимая балка и эквивалентная система метода сил. Система канонических уравнений имеет вид


Левые части уравнений приравниваются к нулю потому, что …

На рисунках 1 и 2 показаны два раза статически неопределимая балка и эквивалентная система метода сил. Система канонических уравнений имеет вид


Левые части уравнений приравниваются к нулю потому, что …



