Изображение вопроса Стержень квадратного сечения со стороной b нагруже...
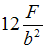
Стержень квадратного сечения со стороной b нагружен внешними силами. Значение максимального нормального напряжения в стержне равно …
• 
• 
• 
• 
Тема: Изгиб с растяжением?сжатием
Предмет: Сопротивление материалов