Изображение вопроса Стержень, показанный на рисунке, испытывает деформ...
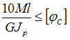
Стержень, показанный на рисунке, испытывает деформацию кручение.
Заданы величины: М, l, Изображение вопроса Стержень, показанный на рисунке, испытывает деформ..., Изображение вопроса Стержень, показанный на рисунке, испытывает деформ... – допустимый угол поворота сечения С. Условие жесткости имеет вид …
• 
• 
• 
• 
Тема: Расчет на жесткость при кручении
Предмет: Сопротивление материалов