Математика – страница 98
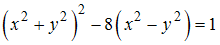
На плоскости
даны кривые:
1)
;
2)
.
Тогда угол пересечения этих кривых в точке с неотрицательными координатами равен …
даны кривые:1)
;2)
.Тогда угол пересечения этих кривых в точке с неотрицательными координатами равен …
Множество всех дробно-рациональных функций образует поле
относительно обычных операций сложения и умножения таких функций.
Пусть
и
, причём
и
.
Тогда произведение
равно …
относительно обычных операций сложения и умножения таких функций.Пусть
и
, причём
и
.Тогда произведение
равно …В пропозициональной форме
пропозициональная буква
имеет значение "истина" (И).
Тогда пропозициональная форма имеет значение "истина", если истинностные значения букв
и
удовлетворяют условию:
пропозициональная буква
имеет значение "истина" (И).Тогда пропозициональная форма имеет значение "истина", если истинностные значения букв
и
удовлетворяют условию:На множестве
задана бинарная операция, обозначенная символом
, с помощью следующей таблицы умножения (таблица Кэли):

(В произведении
первый сомножитель
указывает строку таблицы, второй сомножитель
указывает столбец таблицы, а произведение стоит на пересечении строки и столбца, например,
.)
Для элементов множества
относительно указанной операции справедливо утверждение: …
задана бинарная операция, обозначенная символом
, с помощью следующей таблицы умножения (таблица Кэли):
(В произведении
первый сомножитель
указывает строку таблицы, второй сомножитель
указывает столбец таблицы, а произведение стоит на пересечении строки и столбца, например,
.)Для элементов множества
относительно указанной операции справедливо утверждение: …Среди предложенных кривых одна имеет образ, отличный от образа остальных кривых.
Этой кривой является …
Этой кривой является …
Дробно-рациональную функцию
, определённую над полем комплексных чисел, разложили на элементарные (простейшие) дроби.
Тогда разность коэффициентов при простейших дробях равна …
, определённую над полем комплексных чисел, разложили на элементарные (простейшие) дроби.Тогда разность коэффициентов при простейших дробях равна …
На множестве
бинарная операция, обозначенная символом
, задана таблицей
.
Если
, то для произведения
первый сомножитель указывает строку таблицы, второй – столбец, а результат, т.е. произведение, находится на пересечении строки и столбца.
Тогда алгебраическая структура
является …
бинарная операция, обозначенная символом
, задана таблицей
.Если
, то для произведения
первый сомножитель указывает строку таблицы, второй – столбец, а результат, т.е. произведение, находится на пересечении строки и столбца.Тогда алгебраическая структура
является …Высказывание «Если небо облачное, то идет дождь, а если небо ясное, то дождя не будет» может быть записано логической формулой …
На множестве элементарных функций, определенных на множестве действительных чисел, задана операция композиции элементарных функций. Тогда свойство коммутативности
выполняется для функций …
выполняется для функций …Пусть
и
– кольца (с единицами), причём
и
. В обозначениях колец символы
и
обозначают бинарные операции, символы
и
– унарные операции, а символы
и
– нейтральные элементы соответствующих колец.
Пусть отображение
является кольцевым морфизмом кольца
в кольцо
.
Тогда ядром этого морфизма может быть множество …
и
– кольца (с единицами), причём
и
. В обозначениях колец символы
и
обозначают бинарные операции, символы
и
– унарные операции, а символы
и
– нейтральные элементы соответствующих колец.Пусть отображение
является кольцевым морфизмом кольца
в кольцо
.Тогда ядром этого морфизма может быть множество …
В точке
кривой
проведена касательная, а в точке
проведена нормаль.
Тогда сумма модулей коэффициентов и свободных членов уравнений касательной и нормали равна …
кривой
проведена касательная, а в точке
проведена нормаль.Тогда сумма модулей коэффициентов и свободных членов уравнений касательной и нормали равна …
Множество всех дробно-рациональных функций образует поле
относительно обычных операций сложения и умножения таких функций.
Пусть
и
, причём
и 
Тогда числитель суммы
равен …
относительно обычных операций сложения и умножения таких функций.Пусть
и
, причём
и 
Тогда числитель суммы
равен …
поверхности
в точке
равна …
»·на множестве натуральных чисел, определенная как
, …