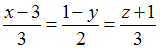
Уравнение касательной плоскости в точке Изображение вопроса Уравнение касательной плоскости в точке  поверхнос... поверхности
Изображение вопроса Уравнение касательной плоскости в точке  поверхнос...
имеет вид …
• 
• 
• 
• 
Тема: Дифференциальная геометрия поверхностей
Предмет: Математика