Множество всех дробно-рациональных функций образует поле
относительно обычных операций сложения и умножения таких функций.
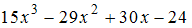
Пусть
и
, причём
и 
Тогда числитель суммы
равен …
относительно обычных операций сложения и умножения таких функций.Пусть
и
, причём
и 
Тогда числитель суммы
равен …• 

• 

• 

• 
