Математика – страница 92
Выборочное уравнение парной регрессии имеет вид
. Тогда выборочный коэффициент регрессии равен …
. Тогда выборочный коэффициент регрессии равен …3 
Ряд Фурье для периодической с периодом
функции, график которой изображён на рисунке, в точке
сходится к значению …

Ряд Фурье для периодической с периодом
функции, график которой изображён на рисунке, в точке
сходится к значению …Если количество элементов множества А равно n, количество элементов множества В равно m, тогда количество элементов в декартовом произведении
равно …
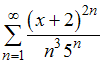
равно …Радиус сходимости ряда
равен …
равен …Функция
является общим решением дифференциального уравнения 1-го порядка.
Тогда для начального условия
частное решение этого уравнения имеет вид…
является общим решением дифференциального уравнения 1-го порядка. Тогда для начального условия
частное решение этого уравнения имеет вид…Число ориентированных графов, которые можно получить из одного простого графа с 4 ребрами, равно …
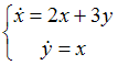
Дифференциальное уравнение
путём введения новой неизвестной функции
приведено к уравнению с разделяющимися переменными.
Тогда полученное уравнение имеет вид …
путём введения новой неизвестной функции
приведено к уравнению с разделяющимися переменными. Тогда полученное уравнение имеет вид …
Матрица
, после приведения к треугольному виду может быть записана следующим образом…
, после приведения к треугольному виду может быть записана следующим образом…Функция
является непрерывной на отрезке …
является непрерывной на отрезке …Дано уравнение прямой в виде
. Тогда уравнение этой прямой в отрезках имеет вид …
. Тогда уравнение этой прямой в отрезках имеет вид …
относительно гармоники
составляет…
и
, то сумма
равна …
не имеет решений, если
равно …