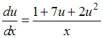
Дифференциальное уравнение
путём введения новой неизвестной функции
приведено к уравнению с разделяющимися переменными.
Тогда полученное уравнение имеет вид …
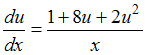
путём введения новой неизвестной функции
приведено к уравнению с разделяющимися переменными. Тогда полученное уравнение имеет вид …
• 

• 

• 

• 
