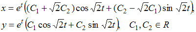
Общее решение системы дифференциальных уравнений
Изображение вопроса Общее решение системы дифференциальных уравнений 
...
имеет вид …
• 
• 
• 
• 
Тема: Системы двух линейных дифференциальных уравнений с постоянными коэффициентами
Предмет: Математика