Математика – страница 80

Даны векторы Изображение вопроса Даны векторы    Смешанное произведение  Тогда знач... Изображение вопроса Даны векторы    Смешанное произведение  Тогда знач... Изображение вопроса Даны векторы    Смешанное произведение  Тогда знач... Смешанное произведение Изображение вопроса Даны векторы    Смешанное произведение  Тогда знач... Тогда значение m равно …




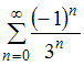
Сумма ряда Изображение вопроса Сумма ряда  равна …... равна …

Областью сходимости ряда Изображение вопроса Областью сходимости ряда  служит множество …... служит множество …


Производная второго порядка по переменному Изображение вопроса Производная второго порядка по переменному  функци... функции Изображение вопроса Производная второго порядка по переменному  функци..., заданной неявно уравнением Изображение вопроса Производная второго порядка по переменному  функци..., равна …

Даны две точки Изображение вопроса Даны две точки  и  своими радиус-векторами  и  соо... и Изображение вопроса Даны две точки  и  своими радиус-векторами  и  соо... своими радиус-векторами Изображение вопроса Даны две точки  и  своими радиус-векторами  и  соо... и Изображение вопроса Даны две точки  и  своими радиус-векторами  и  соо... соответственно.
Тогда уравнение плоскости, проходящей через середину отрезка Изображение вопроса Даны две точки  и  своими радиус-векторами  и  соо... к нему перпендикулярно, в векторной форме имеет вид …



Последовательность Изображение вопроса Последовательность  задана рекуррентным соотношени... задана рекуррентным соотношением Изображение вопроса Последовательность  задана рекуррентным соотношени..., Изображение вопроса Последовательность  задана рекуррентным соотношени..., Изображение вопроса Последовательность  задана рекуррентным соотношени....
Тогда предел при Изображение вопроса Последовательность  задана рекуррентным соотношени... этой последовательности равен …

Смешанное произведение векторов  Изображение вопроса Смешанное произведение векторов   после упрощения ... после упрощения имеет вид...


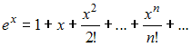
Если разложение в ряд Маклорена функции Изображение вопроса Если разложение в ряд Маклорена функции  имеет вид... имеет вид
Изображение вопроса Если разложение в ряд Маклорена функции  имеет вид... , то разложением в ряд по целым неотрицательным степеням переменной х функции Изображение вопроса Если разложение в ряд Маклорена функции  имеет вид... является …