Если разложение в ряд Маклорена функции
имеет вид
, то разложением в ряд по целым неотрицательным степеням переменной х функции
является …
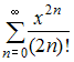
имеет вид
, то разложением в ряд по целым неотрицательным степеням переменной х функции
является …• 

• 

• 

• 
