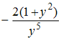
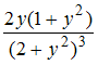
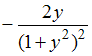
Производная второго порядка по переменному Изображение вопроса Производная второго порядка по переменному  функци... функции Изображение вопроса Производная второго порядка по переменному  функци..., заданной неявно уравнением Изображение вопроса Производная второго порядка по переменному  функци..., равна …
• 
• 
• 
• 
Тема: Производные высших порядков
Предмет: Математика