Математика – страница 73

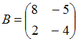
Даны матрицы Изображение вопроса Даны матрицы  и . Тогда произведение матриц  равно... и Изображение вопроса Даны матрицы  и . Тогда произведение матриц  равно.... Тогда произведение матриц Изображение вопроса Даны матрицы  и . Тогда произведение матриц  равно... равно …

Даны матрицы, где Изображение вопроса Даны матрицы, где и . Тогда произведение матриц  р...и Изображение вопроса Даны матрицы, где и . Тогда произведение матриц  р.... Тогда произведение матриц Изображение вопроса Даны матрицы, где и . Тогда произведение матриц  р... равно …

Ранг матрицы Изображение вопроса Ранг матрицы  равен двум, если  принимают значения... равен двум, если Изображение вопроса Ранг матрицы  равен двум, если  принимают значения... принимают значения …

Даны матрицы Изображение вопроса Даны матрицы  размерностью n×m и  размерност... размерностью n×m и Изображение вопроса Даны матрицы  размерностью n×m и  размерност... размерностью k×l, тогда матрица Изображение вопроса Даны матрицы  размерностью n×m и  размерност... может иметь размерность …

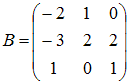
Даны матрицы Изображение вопроса Даны матрицы , .  
 Тогда матрица   равна …..., Изображение вопроса Даны матрицы , .  
 Тогда матрица   равна …....
Тогда матрица  Изображение вопроса Даны матрицы , .  
 Тогда матрица   равна …... равна …

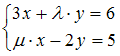
6 Если Изображение вопроса Если , то решение системы линейных уравнений  мето..., то решение системы линейных уравнений Изображение вопроса Если , то решение системы линейных уравнений  мето... методом Крамера можно представить в виде …

Дано двухмерное векторное пространства с базисом Изображение вопроса Дано двухмерное векторное пространства с базисом ..... Если вектор Изображение вопроса Дано двухмерное векторное пространства с базисом ...., то вектор Изображение вопроса Дано двухмерное векторное пространства с базисом .... может иметь координаты …

В ортонормированном базисе заданы векторы  Изображение вопроса В ортонормированном базисе заданы векторы  , , . Т..., Изображение вопроса В ортонормированном базисе заданы векторы  , , . Т..., Изображение вопроса В ортонормированном базисе заданы векторы  , , . Т.... Тогда значение выражения Изображение вопроса В ортонормированном базисе заданы векторы  , , . Т... равно …

Из урны, в которой находятся 6 черных и 4 белых шаров, вынимают одновременно 3 шара. Тогда вероятность того, что все шары будут белыми, равна …

Определённый интеграл Изображение вопроса Определённый интеграл  равен …... равен …

Значение производной первого порядка по переменной Изображение вопроса Значение производной первого порядка по переменной... функции Изображение вопроса Значение производной первого порядка по переменной..., заданной неявно уравнением Изображение вопроса Значение производной первого порядка по переменной..., в точке Изображение вопроса Значение производной первого порядка по переменной... равно …


Плоскости Изображение вопроса Плоскости   и   параллельны при значениях  и , рав...  и  Изображение вопроса Плоскости   и   параллельны при значениях  и , рав... параллельны при значениях Изображение вопроса Плоскости   и   параллельны при значениях  и , рав... и Изображение вопроса Плоскости   и   параллельны при значениях  и , рав..., равных …

Параметрические уравнения прямой в пространстве, проходящей через точку Изображение вопроса Параметрические уравнения прямой в пространстве, п... перпендикулярно плоскости Изображение вопроса Параметрические уравнения прямой в пространстве, п..., имеют вид …

Точка Изображение вопроса Точка  служит основанием перпендикуляра, опущенног... служит основанием перпендикуляра, опущенного из начала координат на прямую линию.
Тогда уравнение этой прямой имеет вид …