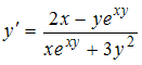
Значение производной первого порядка по переменной Изображение вопроса Значение производной первого порядка по переменной... функции Изображение вопроса Значение производной первого порядка по переменной..., заданной неявно уравнением Изображение вопроса Значение производной первого порядка по переменной..., в точке Изображение вопроса Значение производной первого порядка по переменной... равно …
• 
• 
• 
• 
Тема: Дифференцирование функций
Предмет: Математика