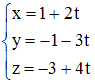
Параметрические уравнения прямой в пространстве, проходящей через точку Изображение вопроса Параметрические уравнения прямой в пространстве, п... перпендикулярно плоскости Изображение вопроса Параметрические уравнения прямой в пространстве, п..., имеют вид …
• 
• 
• 
• 
Тема: Прямая линия в пространстве
Предмет: Математика