Математика – страница 67
Дано топологическое пространство
, где
,

– совокупность всех открытых множеств этого пространства.
Тогда в этом пространстве не является замкнутым множество …
, где
, 
– совокупность всех открытых множеств этого пространства.
Тогда в этом пространстве не является замкнутым множество …
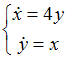
Общий интеграл дифференциального уравнения 1-го порядка имеет вид:
. Тогда при начальном условии
частный интеграл этого уравнения имеет вид …
. Тогда при начальном условии
частный интеграл этого уравнения имеет вид …С помощью преобразования параллельного переноса осей координат уравнение кривой
приводится к каноническому виду…
приводится к каноническому виду…В базисе
трехмерного линейного пространства линейное преобразование
задается матрицей
.
Если
и
, то a равно …
трехмерного линейного пространства линейное преобразование
задается матрицей
.Если
и
, то a равно …Функция
является общим решением дифференциального уравнения 1-го порядка. Тогда при начальном условии
частное решение этого уравнения имеет вид…
является общим решением дифференциального уравнения 1-го порядка. Тогда при начальном условии
частное решение этого уравнения имеет вид…Выборочное уравнение парной регрессии имеет вид
. Тогда выборочный коэффициент корреляции может быть равен …
. Тогда выборочный коэффициент корреляции может быть равен …Дана совокупность векторов:
,
,
,
.
Максимальная размерность линейного пространства с базисными векторами, являющимися линейными комбинациями данных векторов, равна…
,
,
,
.Максимальная размерность линейного пространства с базисными векторами, являющимися линейными комбинациями данных векторов, равна…
,
,
и
может являться множество …
- комплексно сопряженное число, то мнимая часть функции
, где
, имеет вид …
и
равен …
. Если
– единичная матрица того же размера, что и матрица
, то матрица
равна …