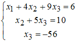
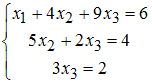
После проведения прямого хода метода Гаусса система линейных уравнений Изображение вопроса После проведения прямого хода метода Гаусса систем... 
может быть записана в виде …
• 
• 
• 
• 
Тема: Система линейных уравнений
Предмет: Математика