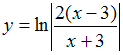
Функция
является общим решением дифференциального уравнения 1-го порядка. Тогда при начальном условии
частное решение этого уравнения имеет вид…
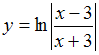
является общим решением дифференциального уравнения 1-го порядка. Тогда при начальном условии
частное решение этого уравнения имеет вид…• 

• 

• 

•
+1
+1