Математика – страница 58
Три первых отличных от нуля члена разложения в степенной ряд решения дифференциального уравнения
, удовлетворяющего начальным условиям
и
, имеют вид …
, удовлетворяющего начальным условиям
и
, имеют вид …Модуль ускорения точки, совершающей гармонические колебания, с амплитудой
, угловой частотой
, и начальной фазой
, в момент времени
равен …
, угловой частотой
, и начальной фазой
, в момент времени
равен …Максимальное значение скорости точки, совершающей гармонические колебания, с амплитудой
, и угловой частотой
, равно …
, и угловой частотой
, равно …Уравнение
решается методом касательных (Ньютона). Корень принадлежит интервалу
. Тогда первое приближение
к точному корню
будет равно …
решается методом касательных (Ньютона). Корень принадлежит интервалу
. Тогда первое приближение
к точному корню
будет равно …Коэффициент при
в разложении в степенной ряд решения дифференциального уравнения
, удовлетворяющего начальному условию
, будет равен …
в разложении в степенной ряд решения дифференциального уравнения
, удовлетворяющего начальному условию
, будет равен …В ортонормированном базисе заданы вектора
и
. Эти векторы будут взаимно перпендикулярны, если значение параметра
равно …
и
. Эти векторы будут взаимно перпендикулярны, если значение параметра
равно …Разложение функции
на гармоники имеет вид …
на гармоники имеет вид …Система
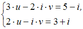
решается матричным способом по формуле
, где
,
– матрица свободных членов. Тогда матрица
, обратная к матрице системы
, имеет вид …
решается матричным способом по формуле
, где
,
– матрица свободных членов. Тогда матрица
, обратная к матрице системы
, имеет вид …
и
равно …
,
и
не образуют базис трехмерного пространства при
, равном …
и
, заданными в ортонормированном базисе, равен …
и
– комплексно-сопряженные числа, то действительная часть функции
, где
, имеет вид …
в точке
равно …

,
и
, равен …