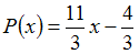
Интерполяционный многочлен Лагранжа, составленный по таблице значений функции Изображение вопроса Интерполяционный многочлен Лагранжа, составленный ...
Изображение вопроса Интерполяционный многочлен Лагранжа, составленный ...
имеет вид …
• 
• 
• 
• 
Тема: Интерполирование функций: интерполяционные полиномы Лагранжа
Предмет: Математика