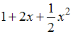
Три первых отличных от нуля члена разложения в степенной ряд решения дифференциального уравнения
, удовлетворяющего начальным условиям
и
, имеют вид …
, удовлетворяющего начальным условиям
и
, имеют вид …• 

• 

• 

• 

, удовлетворяющего начальным условиям
и
, имеют вид …


