Математика – страница 55
Матричная игра задана платежной матрицей
. Смешанная стратегия второго игрока имеет вид:
. Тогда цена игры будет равна …
. Смешанная стратегия второго игрока имеет вид:
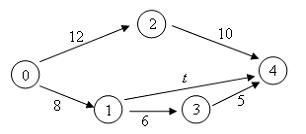
. Тогда цена игры будет равна …Для сетевого графика, изображенного на рисунке,

длина критического пути равна 25. Тогда значение параметра
равно …

длина критического пути равна 25. Тогда значение параметра
равно …Каноническое уравнение прямой
может иметь вид …
может иметь вид …Даны два множества:
и
. Тогда количество целых значений
, принадлежащих объединению множеств
и
, равно …
и
. Тогда количество целых значений
, принадлежащих объединению множеств
и
, равно …Второй отличный от нуля член разложения в степенной ряд решения дифференциального уравнения
, удовлетворяющего начальному условию
, будет равен …
, удовлетворяющего начальному условию
, будет равен …Функция
представлена таблицей:

Тогда в интерполяционном полиноме Лагранжа 2-ой степени с узлами
, составленном по этой таблице для приближенного вычисления
при условии
значение
не может быть равно …
представлена таблицей:
Тогда в интерполяционном полиноме Лагранжа 2-ой степени с узлами
, составленном по этой таблице для приближенного вычисления
при условии
значение
не может быть равно …Уравнение
решается методом касательных (Ньютона). Корень принадлежит интервалу
. Тогда первое приближение
к точному корню
будет вычисляться по формуле …
решается методом касательных (Ньютона). Корень принадлежит интервалу
. Тогда первое приближение
к точному корню
будет вычисляться по формуле …Основной период функции
равен …
равен …
,
. Тогда число целых чисел, принадлежащих их объединению равно …
на отрезок
может быть задано функцией …
по закону
. Тогда период колебаний равен …
в разложении в ряд Фурье функции
на интервале
равен …
на [-
;
], не является …