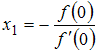
Уравнение
решается методом касательных (Ньютона). Корень принадлежит интервалу
. Тогда первое приближение
к точному корню
будет вычисляться по формуле …
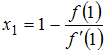
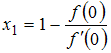
решается методом касательных (Ньютона). Корень принадлежит интервалу
. Тогда первое приближение
к точному корню
будет вычисляться по формуле …• 

• 

• 

• 
