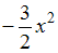
Второй отличный от нуля член разложения в степенной ряд решения дифференциального уравнения
, удовлетворяющего начальному условию
, будет равен …
, удовлетворяющего начальному условию
, будет равен …• 

• 

• 

• 

, удовлетворяющего начальному условию
, будет равен …


