Математика – страница 50
Разложение дробно-рациональной функции
на простые дроби над полем вещественных чисел имеет вид …
на простые дроби над полем вещественных чисел имеет вид …Контрапозицией высказывания «Если сегодня четверг, то
» является предложение …
» является предложение …Отрицанием высказывания «Если я сдам зачет, то пойду в кафе с друзьями или на вечеринку» является высказывание:
Все точки
комплексной плоскости, принадлежащие множеству
, изображенному на рисунке,

удовлетворяют условию …
комплексной плоскости, принадлежащие множеству
, изображенному на рисунке,
удовлетворяют условию …
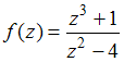
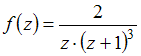
Число особых точек функции
равно …
равно …Значение выражения
равно …
равно …
и
, то мнимая часть производной этой функции
имеет вид …
. Тогда
представляет собой …
в плоскости
равна …
,
и
. Тогда число элементов множества
равно …
, где
– действительные числа, …
точка
является …