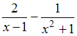
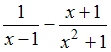
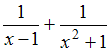
Разложение дробно-рациональной функции Изображение вопроса Разложение дробно-рациональной функции  на простые... на простые дроби над полем вещественных чисел имеет вид …
• 
• 
• 
• 
Тема: Дробно-рациональные функции
Предмет: Математика