Математика – страница 41
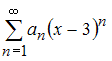
Радиус сходимости степенного ряда
равен 7. Тогда интервал сходимости этого ряда имеет вид …
равен 7. Тогда интервал сходимости этого ряда имеет вид …Дано общее уравнение плоскости
. Тогда уравнение этой плоскости «в отрезках» имеет вид …
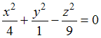
. Тогда уравнение этой плоскости «в отрезках» имеет вид …Даны уравнения поверхностей второго порядка:
А)
B)
C)
D)
Тогда однополостный гиперболоид задается уравнением …
А)

B)

C)

D)

Тогда однополостный гиперболоид задается уравнением …
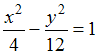
Эксцентриситет гиперболы
равен …
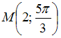
равен …Полярные координаты точки, симметричной точке
относительно полюса, равны …
относительно полюса, равны …Даны точки
и
. Тогда уравнение плоскости, проходящей через точку
перпендикулярно вектору
, имеет вид …
и
. Тогда уравнение плоскости, проходящей через точку
перпендикулярно вектору
, имеет вид …Точка
задана в полярной системе координат. Тогда ее прямоугольные координаты равны …
задана в полярной системе координат. Тогда ее прямоугольные координаты равны …
, то коэффициент
разложения данной функции в ряд Маклорена по степеням
равен …
и радиусом
имеет вид …
, равен …
симметрична точке
относительно оси ординат. Тогда расстояние между точками
и
равно …
и
. Тогда общее уравнение этой прямой имеет вид …
параллельно вектору
имеют вид …
симметрична точке
относительно точки
. Тогда координаты точки
равны …