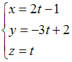
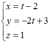
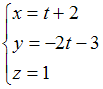
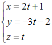
Параметрические уравнения прямой, проходящей через точку Изображение вопроса Параметрические уравнения прямой, проходящей через... параллельно вектору Изображение вопроса Параметрические уравнения прямой, проходящей через... имеют вид …
• 
• 
• 
• 
Тема: Прямая и плоскость в пространстве
Предмет: Математика