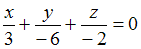
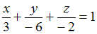
Дано общее уравнение плоскости Изображение вопроса Дано общее уравнение плоскости . Тогда уравнение э.... Тогда уравнение этой плоскости «в отрезках» имеет вид …
• 
• 
• 
• 
Тема: Прямая и плоскость в пространстве
Предмет: Математика