Математика – страница 40
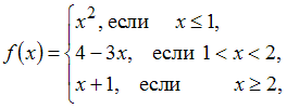
Неопределенный интеграл
можно представить как …
можно представить как …Дано уравнение прямой
. Тогда уравнение этой прямой «в отрезках» имеет вид …
. Тогда уравнение этой прямой «в отрезках» имеет вид …Вершина конуса
имеет координаты …
имеет координаты …Игральная кость бросается один раз. Тогда вероятность того, что число очков, выпавших на верхней грани, будет меньше трех, равна …
Из урны, в которой находятся 6 черных, 4 белых и 10 зеленых шаров, вынимают случайным образом один шар. Тогда вероятность того, этот шар будет белым, равна …
Фокусы эллипса лежат на оси абсцисс симметрично относительно начала координат, а длины полуосей равны соответственно 7 и 2. Тогда каноническое уравнение эллипса имеет вид …
В полярной системе координат кривая
определяет …
определяет …
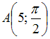
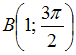
и
имеет вид …
и
. Тогда полярные координаты середины отрезка
равны …
и
равно …
задана законом распределения вероятностей:
и радиусом
имеет вид …
до прямой
равно …
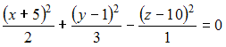
,
,
и
. Тогда линии, заданной уравнением
, принадлежит точка …