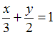
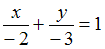
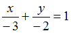
Дано уравнение прямой Изображение вопроса Дано уравнение прямой . Тогда уравнение этой прямо.... Тогда уравнение этой прямой «в отрезках» имеет вид …
• 
• 
• 
• 
Тема: Прямая на плоскости
Предмет: Математика