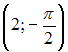
В полярной системе координат даны точки Изображение вопроса В полярной системе координат даны точки  и . Тогда... и Изображение вопроса В полярной системе координат даны точки  и . Тогда.... Тогда полярные координаты середины отрезка Изображение вопроса В полярной системе координат даны точки  и . Тогда... равны …
• 
• 
• 
• 
Тема: Полярные координаты на плоскости
Предмет: Математика