Математика – страница 39
Если угловой коэффициент касательной к кривой в любой ее точке вдвое больше углового коэффициента радиуса-вектора точки касания, то уравнение этой кривой будет иметь вид …
Общее решение линейного неоднородного дифференциального уравнения второго порядка
имеет вид …
имеет вид …Даны матрица
перехода от старого базиса к новому и вектор
с координатами в новом базисе. Тогда координаты вектора
в старом базисе имеют вид …
перехода от старого базиса к новому и вектор
с координатами в новом базисе. Тогда координаты вектора
в старом базисе имеют вид …Уравнение параболы имеет вид
. Тогда директриса задается уравнением …
. Тогда директриса задается уравнением …Уравнение
в пространстве определяет …
в пространстве определяет …Точка
задана в прямоугольной системе координат. Тогда ее полярные координаты равны …
задана в прямоугольной системе координат. Тогда ее полярные координаты равны …Разложение в ряд Маклорена функции
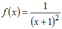
имеет вид:

Тогда для функции
, коэффициент
разложения данной функции в ряд Маклорена равен …
имеет вид:
Тогда для функции
, коэффициент
разложения данной функции в ряд Маклорена равен …Для определенного интеграла
справедливо равенство …
справедливо равенство …
отрезок
и имеет угловой коэффициент
. Тогда ее уравнение имеет вид …
и
равен …
и от плоскости
, имеет вид …
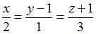
параллельно прямой
. Тогда уравнение этой прямой имеет вид …
и
. Тогда координаты середины отрезка
равны …
параллельно прямой
имеет вид …