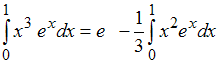
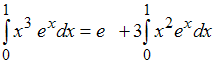
Для определенного интеграла Изображение вопроса Для определенного интеграла  справедливо равенство... справедливо равенство …
• 
• 
• 
• 
Тема: Методы вычисления определенного интеграла
Предмет: Математика