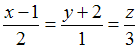
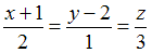
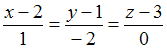
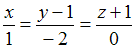
Прямая проходит через точку Изображение вопроса Прямая проходит через точку  параллельно прямой . ... параллельно прямой Изображение вопроса Прямая проходит через точку  параллельно прямой . .... Тогда уравнение этой прямой имеет вид …
• 
• 
• 
• 
Тема: Прямая и плоскость в пространстве
Предмет: Математика