Математика – страница 34
Непрерывная случайная величина
задана плотностью распределения вероятностей:

Тогда значение параметра
равно …
задана плотностью распределения вероятностей:
Тогда значение параметра
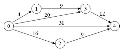
равно …В транспортной задаче оптимальное распределение поставок, найденное по методу потенциалов, имеет вид …
Медиана вариационного ряда 2, 3, 5, 6, 7, 9,
, 12, 13, 15, 16, 18 равна 10. Тогда значение варианты
равно …
, 12, 13, 15, 16, 18 равна 10. Тогда значение варианты
равно …Функция полезности потребителя имеет вид
, а оптимальное потребление:
,
. Тогда предельная полезность блага x равна …
, а оптимальное потребление:
,
. Тогда предельная полезность блага x равна …Матрица выигрышей в игре с природой имеет вид:

Тогда оптимальной по критерию Байеса относительно выигрышей будет стратегия …

Тогда оптимальной по критерию Байеса относительно выигрышей будет стратегия …
Медиана вариационного ряда 11, 13, 13, 14, 15,
, 18, 19, 21, 24, 25, 25 равна 17. Тогда значение варианты
равно …
, 18, 19, 21, 24, 25, 25 равна 17. Тогда значение варианты
равно …В теории потребления предполагается, что функция полезности потребителя
обладает свойством …
обладает свойством …Область определения вида
соответствует функции …
соответствует функции …Область допустимых решений ABCD задачи линейного программирования имеет вид:

Тогда минимальное значение функции
равно …

Тогда минимальное значение функции
равно …Матрица выигрышей в игре с природой имеет вид:

Тогда соответствующая ей матрица рисков будет иметь вид …

Тогда соответствующая ей матрица рисков будет иметь вид …
Дерево решений в игре с природой имеет вид:

Тогда ожидаемая денежная оценка по критерию Байеса будет равна …

Тогда ожидаемая денежная оценка по критерию Байеса будет равна …
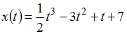
. Тогда ускорение точки в момент времени
равно …
содержит интервал
. Тогда значение параметра
может быть равно …
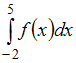
непрерывна на отрезке
, то интеграл
можно представить в виде …