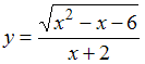
Область определения вида Изображение вопроса Область определения вида  соответствует функции &#... соответствует функции …
• 
• 
• 
• 
Тема: Область определения функции
Предмет: Математика