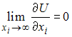
В теории потребления предполагается, что функция полезности потребителя Изображение вопроса В теории потребления предполагается, что функция п...  обладает свойством …
• 
• 
• 
• 
Тема: Функции полезности
Предмет: Математика