Математика – страница 205
У одного человека есть 5 книг, а у другого – 6 книг. Сколькими способами они могут обменять 3 книги одного на 3 книги другого?
Матрице инцидентности
соответствует матрица смежности …
соответствует матрица смежности …Для функции
точка z=2 является …
точка z=2 является …Цилиндрическая винтовая линия L задана натуральным уравнением
, где S – натуральный параметр. Тогда ее кривизна равна …
, где S – натуральный параметр. Тогда ее кривизна равна …Отображение
ставит в соответствие точке плоскости с координатами
точку с координатами 
Тогда точка (16; 0) будет иметь ______ прообраз(-а).
ставит в соответствие точке плоскости с координатами
точку с координатами 
Тогда точка (16; 0) будет иметь ______ прообраз(-а).
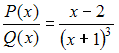
Разложение дроби
на простейшие имеет вид …
на простейшие имеет вид …Имеются восемь урн, содержащих по 5 белых и 5 черных шаров, и двенадцать урн, содержащих по 6 белых и 4 черных шара. Из наудачу взятой урны вытаскивается один шар, который оказался белым. Тогда вероятность того, что этот шар был вынут из второй серии урн, равна …
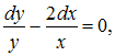
Функция
является частным решением линейного однородного дифференциального уравнения второго порядка …
является частным решением линейного однородного дифференциального уравнения второго порядка …Амплитуда гармонических колебаний равна 0,05, период равен 4
и начальная фаза равна
Тогда смещение колеблющейся точки
от нулевого положения при
равно …
и начальная фаза равна
Тогда смещение колеблющейся точки от нулевого положения при
равно …Функция
задана таблично:

В интерполяционном полиноме Лагранжа 2-ой степени с узлами
составленном по этой таблице для приближенного вычисления
при условии
значение
не может быть равно …
задана таблично:
В интерполяционном полиноме Лагранжа 2-ой степени с узлами
составленном по этой таблице для приближенного вычисления
при условии
значение
не может быть равно …Матрица A имеет размерность 3´2, матрица B – 3´4 и матрица С – 2´4. Тогда существует произведение матриц …
Норма вектора
в евклидовом пространстве со стандартным скалярным произведением равна 5 при k равном …
в евклидовом пространстве со стандартным скалярным произведением равна 5 при k равном …
проходящая через точку
имеет вид …
и 
то мнимая часть главного значения логарифма
равна …