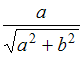
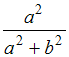
Цилиндрическая винтовая линия L задана натуральным уравнением Изображение вопроса Цилиндрическая винтовая линия L задана натуральным..., где S – натуральный параметр. Тогда ее кривизна равна …
• 
• 
• 
• 
Тема: Кривизна плоской кривой
Предмет: Математика