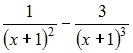
Разложение дроби Изображение вопроса Разложение дроби  на простейшие имеет вид …... на простейшие имеет вид …
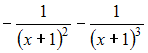
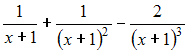
• 
• 
• 
• 
Тема: Дробно-рациональные функции
Предмет: Математика