Математика – страница 202
В поле для любого элемента a произведение
…
…Множество всех дробно-рациональных функций образует поле D относительно обычных операций сложения и умножения таких функций.
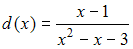
Пусть
и
, причем
и 
Тогда числитель произведения
равен …
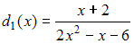
Пусть
и
, причем
и 
Тогда числитель произведения
равен …В древнем племени «Уа-Уа» алфавит состоял из трех букв: А, О, У. Слово могло состоять из одной, двух или трех букв. Сколько слов в языке племени?
Решение системы уравнений
имеет вид …
имеет вид …В поле, определенном множеством из двух элементов
при следующем определении операций:

противоположным для a относительно сложения является …
при следующем определении операций:
противоположным для a относительно сложения является …
Количество элементов пересечения множества праздничных дней января 2011 года и множества воскресных дней 2011 года равно …
Множество всех дробно-рациональных функций образует поле D относительно обычных операций сложения и умножения таких функций.
Тогда обратным элементом для дроби
является …
Тогда обратным элементом для дроби
является …В поле чисел вида
с рациональными a, b и обычными операциями сложения и умножения элементом, обратным к элементу
является …
с рациональными a, b и обычными операциями сложения и умножения элементом, обратным к элементу
является …Бинарная операция, определенная на множестве M, – это отображение, действующее из …
Из города A в город B ведут 5 дорог, из B в C – 3 дороги, имеются также 2 дороги из A в C, минуя B. Из A в C можно попасть ____ способом(-ами).
15 Не является бинарной операцией, определенной на множестве действительных чисел …

и 
и
Тогда уравнение прямой, проходящей через точку
и середину отрезка AB имеет вид …
Тогда не является отображением соответствие …