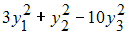
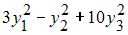
Канонический вид квадратичной формы
Изображение вопроса Канонический вид квадратичной формы 
  
 может име...
может иметь вид …
• 
• 
• 
• 
Тема: Квадратичные формы
Предмет: Математика